脑科学专家赵轶劼团队开发序列双靶点经颅磁刺激治疗抑郁症新方案
赵轶劼,同济大学附属精神卫生中心(上海市浦东新区精神卫生中心)副研究员,华东师范大学心理与认知科学学院博士,复旦大学类脑智能科学与技术研究院博士后,脑科学平台专家。研究聚焦于物理治疗的认知神经机制,利用多模态磁共振、电生理等方法,研究侵入性及非侵入性物理干预手段对认知功能的影响及其在精神类疾病治疗中的作用机制与模式优化。主持国家自然科学基金青年及面上项目、上海市卫健委临床研究专项等科研项目,入选上海市科委启明星项目“扬帆专项”、上海市浦东新区“明珠菁英人才”、浦东新区卫健委学科带头人。相关工作以(共同)第一/通讯作者在Cell Reports Medicine、Nature Mental Health、Brain Stimulation等国际权威期刊发表。
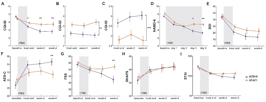
抑郁症是一项重大公共卫生问题,给个人、家庭和社会带来沉重疾病负担。如今抑郁症仍以药物治疗为主,然而许多患者对抗抑郁药物耐受性差,且存在无法服药或不愿服药等情况。神经调控技术,尤其是重复经颅磁刺激(repetitive Transcranial Magnetic Stimulation, rTMS)是一项安全有效的治疗手段。在临床上,目前标准治疗方案为:在4至6周内,每日对左侧背外侧前额叶皮层(dlPFC)进行1次高频刺激。然而,该方案疗效仍有一定提升空间,且连续数周的每日治疗对全职或居住地远离医院的患者造成较大影响与阻碍,导致治疗可及性低、临床脱落率高、治疗不规范等一系列问题。同时,rTMS疗效在维持时间上也仍存在一定争议。因此,临床上仍需短期快速起效,且疗效维持长久的rTMS治疗新方案。
综上,本研究首创了一种“高性价比”的双靶点序列刺激方案,通过rTMS干预不同神经环路,使用较少的脉冲总数和较短的治疗周期,实现了起效快速且效果持久的抗抑郁效果,具有巨大的临床应用前景。
15950728315
dx9cz@sohu.com
联系我们